homework for Digital Image Processing
图像处理课程作业,使用MATLAB实现。
代码开源,仅供参考,被查抄袭不赖我(反正我不怕被查抄袭..逃
-
自由选取图片,支持格式.bmp, .jpg, .png
-
自由保存结果,输出支持格式.bmp, .jpg, .png
-
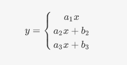
分段线性拉伸
-
任意角度旋转,范围0-360度
灰度图像属于黑白图像的一种。 灰度图像相对于简单的单色图像仅用一个位来表示图像的像素而言,使用一个字节,即8个位来表示图像的一个像素。 如果单色图像中用0表示黑色,1表示白色,那么在灰度图像中,相当于将黑白色等分成256个级别。 0表示为黑,255表示为白,该字节的数值表示相应像素值的灰度值或亮度值,数值越接近0,对应像素点越黑,相反,则对应像素点越白。
本质:对像素点操作,改变像素点的值,进而改变像素值的分布改变图像的显示效果。 分段线性函数: [0, 50] -> [0, 10] [51, 150] -> [11 - 200] [151, 255] -> [201-255] 表达式如下:
核心代码实现:
本质:构造旋转矩阵 我构造的选择矩阵如下:
图像经过变换后四个顶点的坐标:
注意图像放在笛卡尔坐标系的第四象限, 其实不应该这么描述,按照图像处理里面的规定,图像的像素点矩阵是从上到下,从左到右排列。这样的摆放规定其实就是笛卡尔坐标系的第四象限,只不过$y$轴方向值为正。
GUI设计采用MATLAB开发工具箱GUIDE,开发过程类似于VB,简单的拖控件(按钮,编辑框,坐标轴等等),然后给每一个控件绑定回调函数。




