Maglev is a simple library that provides fast and generic solutions for shortest path problems (SPP). It is designed generic and can easily be modified and extended.
It is able to compute shortest paths on a given graph structure. It offers:
1-1- one source to one destinationn-1- the closest source to one destination1-*- one source to all reachable nodesn-*- the closest sources to all reachable nodes
and the opposite directions by offering an implicit Graph#reverse():
1-n- one source to the closest destination*-1- all from destination reachable nodes to destination*-n- all from any destination reachable nodes to the closest destination
By utilizing efficient and well known algorithms, such as:
- Dijkstra
- A-Star
- ALT (A-Star with landmarks)
and providing a high degree of customizability by offering ways to manipulate the algorithm using extensions called Dijkstra modules.
The main interface of the algorithms provide the following methods:
Collection<N> searchSpace(Collection<? extends N> sources, N destination)Collection<N> searchSpace(N source, N destination)Optional<Path<N, E>> shortestPath(Collection<? extends N> sources, N destination)Optional<Path<N, E>> shortestPath(N source, N destination)Optional<Double> shortestPathCost(Collection<? extends N> sources, N destination)Optional<Double> shortestPathCost(N source, N destination)Map<N, ? extends HasPathCost> shortestPathCostsReachable(Collection<? extends N> sources)Map<N, ? extends HasPathCost> shortestPathCostsReachable(N source)PathTree<N, E> shortestPathReachable(Collection<? extends N> sources)PathTree<N, E> shortestPathReachable(N source)
- Requires at least Java 11
Maven:
<dependency>
<groupId>io.github.zabuzard.maglev</groupId>
<artifactId>maglev</artifactId>
<version>1.2</version>
</dependency>Jar downloads are available from the release section.
- API Javadoc or alternatively from the release section
- Integrate Maglev into your project. The API is contained in the module
io.github.zabuzard.maglev. - Create an implementation of
Graph<N, E>for your custom graphs or useSimpleGraph<N, E>for a quick start - Populate your graph
- Create an algorithm using
ShortestPathComputationBuilder - Execute shortest path computations using the methods offered by
ShortestPathComputation
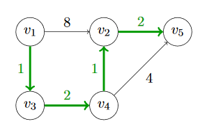
Consider the following simple graph setup:
SimpleGraph<Integer, SimpleEdge<Integer>> graph = new SimpleGraph<>();
graph.addNode(1);
graph.addNode(2);
graph.addNode(3);
graph.addNode(4);
graph.addNode(5);
graph.addEdge(new SimpleEdge<>(1, 2, 8));
graph.addEdge(new SimpleEdge<>(1, 3, 1));
graph.addEdge(new SimpleEdge<>(2, 5, 2));
graph.addEdge(new SimpleEdge<>(3, 4, 2));
graph.addEdge(new SimpleEdge<>(4, 2, 1));
graph.addEdge(new SimpleEdge<>(4, 5, 5));Next, we create an algorithm by using the builder with default settings:
var algo = new ShortestPathComputationBuilder<>(graph)
.build();
var path = algo.shortestPath(1, 5);
System.out.println(path);The algorithm correctly computes the shortest path from node 1 to 5 (as highlighted in the picture).
The next example demonstrates how to ignore node 4 in all computations:
var algo = new ShortestPathComputationBuilder<>(graph)
.addModuleIgnoreEdgeIf(edge -> edge.getDestination().equals(4))
.build();
var path = algo.shortestPath(1, 5);
System.out.println(path);The third example shows how to compute all reachable shortest path costs, starting from node 1, but aborting as soon
as node 4 has been settled:
var algo = new ShortestPathComputationBuilder<>(graph)
.addModuleAbortAfterIf(dist -> dist.getNode().equals(4))
.build();
var nodeToCost = algo.shortestPathCostsReachable(1);
nodeToCost.entrySet().stream()
.map(entry -> entry.getKey() + "=" + entry.getValue().getPathCost())
.forEach(System.out::println);The last example uses ordinary Dijkstra without any modules or optimizations:
var algo = new ShortestPathComputationBuilder<>(graph)
.resetOrdinaryDijkstra()
.build();
var path = algo.shortestPath(1, 5);
System.out.println(path);Lastly, we show how to create an A-Star algorithm that uses the Euclidean distance (as the crow flies) on a graph consisting of points in a 2-dimensional space.
Consider the following simple class for points in a 2-dimensional space
class Point {
private final int x;
private final int y;
// constructor, getter, equals, hashCode and toString ommitted
}Next, we define our heuristic metric
class EuclideanDistance implements Metric<Point> {
@Override
public double distance(Point a, Point b) {
return Math.sqrt(Math.pow(b.getX() - a.getX(), 2) + Math.pow(b.getY() - a.getY(), 2));
}
}Now a simple graph consisting of such points:
SimpleGraph<Point, SimpleEdge<Point>> graph = new SimpleGraph<>();
var a = Point.of(1, 2);
var b = Point.of(5, 7);
var c = Point.of(-10, 4);
graph.add(a);
graph.add(b);
graph.add(c);
graph.addEdge(new SimpleEdge<>(a, b, 1));
graph.addEdge(new SimpleEdge<>(b, c, 1));
graph.addEdge(new SimpleEdge<>(a, c, 5));and finally the algorithm operating on this graph by using A-Star with the Euclidean distance:
var algo = new ShortestPathComputationBuilder<>(graph)
.setMetric(new EuclideanDistance())
.build();
var path = algo.shortestPath(a, c);
System.out.println(path);The algorithms operate on a generic Graph interface which must be implemented by a user.
To ease development, AbstractGraph can be used as base class. It implements almost all methods already, based on
abstract
Map<N, Set<E>> getNodeToIncomingEdges() and Map<N, Set<E>> getNodeToOutgoingEdges
methods which can easily be given by any implementing class.
Further, there is SimpleGraph which already provides a full implementation of the interface.
Graphs are defined on a generic node type N, no restrictions, and an Edge<N> interface. The class SimpleEdge
provides a full implementation of the interface.
The algorithm builder ShortestPathComputationBuilder offers highly customizable algorithms based on Dijkstra,
called Module-Dijkstra. That is a regular Dijkstra algorithm which can be extended using extension modules that modify
its behavior. Offered modules are:
AbortBeforeIfModule- Aborts further computation as soon as a node that matches a given predicate would be settledAbortAfterIfModule- Aborts further computation as soon as a node that matches a given predicate has been settledAbortAfterRangeModule- Only explores shortest paths up to the given rangeIgnoreEdgeIfModule- Ignores exploring edges that match the given predicateAStarModule- Optimization of the algorithm by utilizing a given heuristic metric
It is also possible to add custom modules by simply implementing the interface DijkstraModule. Modules can be added by
using addModule(DijkstraModule) and the other addModuleXXX methods.
If the AStarModule was chosen, a heuristic metric must be given. Offered metrics are:
LandmarkMetric- Dynamic heuristic computed based on the underlying graph model (also known as ALT algorithm)
It is also possible to use a custom metric by simply implementing the Metric interface, for example a metric based on
the Euclidean distance. A metric can be set by using setMetric(Metric) and the other setMetricXXX methods.
If the LandmarkMetric was chosen, the amount of landmarks must be set, which can be done
using setAmountOfLandmarks(int). Additionally, a landmark provider must be given. Offered landmark providers are:
GreedyFarthestLandmarkProvider- Chooses landmarks that are optimally spread across the graph by dynamically utilizing its structureRandomLandmarkProvider- Randomly selects nodes as landmarks
It is also possible to use a custom landmark provider by simply implementing the LandmarkProvider interface. A
landmark provider can be set by using setLandmarkProvider(LandmarkProvider)
and the other setLandmarkProviderXXX methods.
Finally, an algorithm using the selected properties can be created using build(). The initial construction might take
a while, depending on the graph size. Results are cached and further constructions will try to utilize the cache
whenever possible.
The default configuration of the builder is:
AStarModuleLandmarkMetric- 20 landmarks
RandomLandmarkProvider
The method resetDefault() can be used to restore the default settings. Likewise resetOrdinaryDijkstra() can be used
to get a configuration that just uses the ordinary Dijkstra algorithm without any modules.
